:: ECONOMY :: RESEARCH ON THE DEPENDENCE OF THE BELT WIDTH OF A STEEPLY INCLINED CONVEYOR WITH A PRESSURE BELT ON THE DESIGN PRODUCTIVITY :: ECONOMY :: RESEARCH ON THE DEPENDENCE OF THE BELT WIDTH OF A STEEPLY INCLINED CONVEYOR WITH A PRESSURE BELT ON THE DESIGN PRODUCTIVITY
:: ECONOMY :: RESEARCH ON THE DEPENDENCE OF THE BELT WIDTH OF A STEEPLY INCLINED CONVEYOR WITH A PRESSURE BELT ON THE DESIGN PRODUCTIVITY
 
UA  PL  EN
         

Світ наукових досліджень. Випуск 51

Термін подання матеріалів

21 квітня 2026

До початку конференції залишилось днів 4



  Головна
Нові вимоги до публікацій результатів кандидатських та докторських дисертацій
Редакційна колегія. ГО «Наукова спільнота»
Договір про співробітництво з Wyzsza Szkola Zarzadzania i Administracji w Opolu
Календар конференцій
Архів
  Наукові конференції
 
 Лінки
 Форум
Наукові конференції
Наукова спільнота - інтернет конференції
Світ наукових досліджень www.economy-confer.com.ua

 Голосування 
З яких джерел Ви дізнались про нашу конференцію:

соціальні мережі;
інформування електронною поштою;
пошукові інтернет-системи (Google, Yahoo, Meta, Yandex);
інтернет-каталоги конференцій (science-community.org, konferencii.ru, vsenauki.ru, інші);
наукові підрозділи ВУЗів;
порекомендували знайомі.
з СМС повідомлення на мобільний телефон.


Результати голосувань Докладніше

 Наша кнопка
www.economy-confer.com.ua - Економічні наукові інтернет-конференції

 Лічильники
Українська рейтингова система

RESEARCH ON THE DEPENDENCE OF THE BELT WIDTH OF A STEEPLY INCLINED CONVEYOR WITH A PRESSURE BELT ON THE DESIGN PRODUCTIVITY

 
16.01.2026 11:55
Автор: Volodymyr Bohomaz, Candidate of Physical and Mathematical Sciences, Ukrainian State University of Science and Technology
[26. Технічні науки;]


One of the directions of development and modernization of belt conveyors is to reduce their material consumption and overall dimensions while increasing or maintaining reliability and productivity. Steeply inclined belt conveyors with a pressure belt belong to the group of special-purpose conveyors, which are used for transporting bulk materials with a slope angle of the route greater than the angle of natural slope of the corresponding material, for example, for lifting crushed granite to bunkers. Its calculation scheme is presented in fig. 8.15 [1, p. 440]. The description and calculations of such conveyors are described in detail in modern literature, in particular in works [1 – 3].

The most expensive element of such conveyors is the belt, and its width is one of the main design parameters of the conveyor. Thus, its material consumption and total cost depend on the rational choice of belt width.

The main goal of this work is to study the influence of design performance on the belt width of steeply inclined conveyors.

For further research, we determine that the conveyor uses grooved three-roller supports with a side roller inclination angle of 20o and the angle of natural slope on the belt of 35o.

Let's analyze the impact of the design performance of a steeply inclined belt conveyor with a pressure belt (rubber fabric with a lavsan base) for transporting granite on the width of the belt.

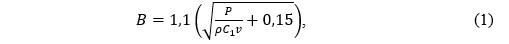
The belt width for such conveyors is found by the formula [1, p. 441]:




where C1 – coefficient of productivity for steeply inclined conveyors with a pressure belt (table 8.10 [1, p. 441]);

ρ=1,8 t/m3 – density of granite after secondary crushing;

v=2 m/s – belt speed;

P – conveyor capacity, t/h.

Transforming the formula (1), we have:




Using formula (2), we will determine the intervals of change in the design productivity of the conveyor with the same belt width.

Thus, if P≤106,5 t/h, then B is taken 0,4 m; if 106,5≤P≤177,6 t/h, then B is taken 0,5 m; if 177,6≤P≤316,7 t/h, then B is taken 0,65 m; if 316,7≤P≤496,5 t/h, then B is taken 0,8 m; if 496,5≤P≤798,8 t/h, then B is taken 1,0 m; if 798,8≤P≤1172,6 t/h, then B is taken 1,2 m; if 1172,6≤P≤1618 t/h, then B is taken 1,4 m; if 1618≤P≤1755,6 t/h, then B is taken 1,6 m; if 1755,6≤P≤3383,5 t/h, then B is taken 2,0 m. It is easy to see that as the required productivity increases, the width of the belt also increases.

Thus, the graphical dependence of the belt width of a steeply inclined belt conveyor with a pressure belt on the value of the design productivity has the form shown in fig. 1. It is easy to see that it is a step-wise increasing function.




Fig. 1. Graphical dependence of the belt width of a steeply inclined belt conveyor with a pressure belt on the value of the design productivity

In the paper a condition was received that the belt width must satisfy to ensure the required productivity. It is a ratio between the density of the transported cargo, the productivity coefficient, the belt speed, productivity and belt width. Using this ratio, an analytical and graphical dependence of the belt width on the ranges of changes in the productivity value for a specific type of cargo is received.

References:

1. Bondarev, V. S., Dubynets, O. I., & Kolisnyk, M. P. (2009). Pidiomno-transportni mashyny: rozrakhunky pidiimalnykh i transportuvalnykh mashyn: pidruchnyk. Kyiv: Vyshcha Shkola. (in Ukrainian)

2. Dereza, O. O. (2016). Mashyny bezperervnoho transportu. Melitopol: Tavriiskyi Derzhavnyi Ahrotekhnichnyi Universytet. (in Ukrainian)

3. Shyrin, L.N., Pryhunov, O.S., Denyschenko, O.V. (2015) Transportni kompleksy kar'yeriv. Dnipro: Natsionalʹnyy hirnychyy universytet. (in Ukrainian)



Creative Commons Attribution Ця робота ліцензується відповідно до Creative Commons Attribution 4.0 International License

допомогаЗнайшли помилку? Виділіть помилковий текст мишкою і натисніть Ctrl + Enter


 Інші наукові праці даної секції
ДОСЛІДЖЕННЯ ВПЛИВУ МОРФОЛОГІЧНИХ ПАРАМЕТРІВ ПОРИСТОГО КРЕМНІЮ НА СПЕКТРАЛЬНІ ХАРАКТЕРИСТИКИ ПРОПУСКАННЯ В ІНФРАЧЕРВОНІЙ ОБЛАСТІ
27.01.2026 19:04
МАТЕМАТИЧНЕ МОДЕЛЮВАННЯ ВПЛИВУ ТОЧКОВИХ ДЕФЕКТІВ НА ПРУЖНІ ВЛАСТИВОСТІ ПОРИСТОГО КРЕМНІЮ
27.01.2026 14:19
SCALE-DEPENDENT THERMAL CONDUCTIVITY IN HETEROGENEOUS MEDIA
27.01.2026 13:51
ОСОБЛИВОСТІ МЕТРОЛОГІЧНИХ ВИПРОБУВАНЬ ПРИСТРОЇВ ДЛЯ ЗВАЖУВАННЯ ТА ВИЗНАЧЕННЯ ЦЕНТРУВАННЯ ЛІТАЛЬНИХ АПАРАТІВ
26.01.2026 22:19
АРХІТЕКТУРНІ СТИЛІ ДЛЯ СИСТЕМ РЕАЛЬНОГО ЧАСУ (МОНОЛІТНІ, МІКРОСЕРВІСНІ, ПОДІЄВО-ОРІЄНТОВАНІ)
16.01.2026 13:40
ВИБІР АПАРАТНО-ПРОГРАМНОЇ ПЛАТФОРМИ: ВБУДОВАНІ СИСТЕМИ, SOC, FPGA
16.01.2026 13:20
ІНЖЕНЕРНА МЕТОДИКА УТОЧНЕННЯ ПОПЕРЕЧНИХ СИЛ В ТОНКИХ ПЛИТАХ
16.01.2026 10:07




© 2010-2026 Всі права застережені При використанні матеріалів сайту посилання на www.economy-confer.com.ua обов’язкове!
Час: 0.201 сек. / Mysql: 2038 (0.17 сек.)