:: ECONOMY :: ІНЖЕНЕРНА МЕТОДИКА УТОЧНЕННЯ ПОПЕРЕЧНИХ СИЛ В ТОНКИХ ПЛИТАХ :: ECONOMY :: ІНЖЕНЕРНА МЕТОДИКА УТОЧНЕННЯ ПОПЕРЕЧНИХ СИЛ В ТОНКИХ ПЛИТАХ
:: ECONOMY :: ІНЖЕНЕРНА МЕТОДИКА УТОЧНЕННЯ ПОПЕРЕЧНИХ СИЛ В ТОНКИХ ПЛИТАХ
 
UA  PL  EN
         

Світ наукових досліджень. Випуск 51

Термін подання матеріалів

21 квітня 2026

До початку конференції залишилось днів 4



  Головна
Нові вимоги до публікацій результатів кандидатських та докторських дисертацій
Редакційна колегія. ГО «Наукова спільнота»
Договір про співробітництво з Wyzsza Szkola Zarzadzania i Administracji w Opolu
Календар конференцій
Архів
  Наукові конференції
 
 Лінки
 Форум
Наукові конференції
Наукова спільнота - інтернет конференції
Світ наукових досліджень www.economy-confer.com.ua

 Голосування 
З яких джерел Ви дізнались про нашу конференцію:

соціальні мережі;
інформування електронною поштою;
пошукові інтернет-системи (Google, Yahoo, Meta, Yandex);
інтернет-каталоги конференцій (science-community.org, konferencii.ru, vsenauki.ru, інші);
наукові підрозділи ВУЗів;
порекомендували знайомі.
з СМС повідомлення на мобільний телефон.


Результати голосувань Докладніше

 Наша кнопка
www.economy-confer.com.ua - Економічні наукові інтернет-конференції

 Лічильники
Українська рейтингова система

ІНЖЕНЕРНА МЕТОДИКА УТОЧНЕННЯ ПОПЕРЕЧНИХ СИЛ В ТОНКИХ ПЛИТАХ

 
16.01.2026 10:07
Автор: Азізов Талят Нуредінович, доктор технічних наук, професор, Сумський національний аграрний університет; Срібняк Наталія Миколаївна, кандидат технічних наук, доцент, Сумський національний аграрний університет
[26. Технічні науки;]

ORCID: 0000-0001-9621-9805 Азізов Т.Н.

ORCID: 0000-0003-3205-433X Срібняк Н.М.

Аналіз досліджень і постановка задачі.

Залізобетонні перекриття складають доволі великий об’єм в повному обсязі конструкцій будівель і споруд. Від правильного проєктування перекриттів залежить їх надійна експлуатація. Дослідження показують, що реальні залізобетонні плити перекриттів мають більші прогини, ніж отримані з розрахунку, навіть коли в розрахунках враховано тріщиноутворення [1, 2, 13]. Як показано в роботах [11, 13] це пов’язано з фактом, що в реальності тріщини утворюються раніше, ніж це враховується в розрахункових програмах. Це в основному стосується діагональних тріщин, що утворюються в кутових зонах плит. 

За теорію Кірхгофа-Лява [5, 8] при розрахунку плит не враховуються дотичні напруження τyz, що діють по товщині плити. Це призводить до факту не врахування цих напружень при визначенні головних напружень. В свою чергу не правильне визначення головних напружень призводить до неправильного визначення моменту утворення тріщин.

Відомо [3, 7, 10, ], що при крученні стрижня у вигляді тонкої полоси половина крутного моменту сприймається напруженнями τxy, що діють в напрямку довгої сторони поперечного перерізу. Другу половину крутного моменту сприймають дотичні напруження τyz, які зосереджені на вертикальних (бокових) гранях поперечного перерізу полоси. Саме не врахування цієї складової в теорії тонких плит призводить до суттєвих похибок в визначенні поперечних сил біля опор плит, на її вільних гранях, біля зосереджених сил, отворів [1, 2, 13].

В даний час при проектуванні перекриттів використовуються, як правило, програмні комплекси, в яких реалізовано метод скінчених елементів. До таких програм належать LIRA-SAPR, SCAD, Ansys та ін. [12, 14]. При цьому перекриття зазвичай моделюється плоскими скінченими елементами тонкої плити або оболонки [4, 14]. Найчастіше таке моделювання виправдане. Переміщення, згинальні моменти Mx, My, крутні моменти Mxy  (які визначаються лише від горизонтальних дотичних напружень τxy) визначаються при цьому доволі точно. Що ж стосується поперечних сил, особливо в місцях, вказаних вище, то тут проблема залишається відкритою. 

Всі названі факти досліджені в проаналізованих вище роботах. Однак, немає інженерної методики, яка б дозволяла враховувати напруження, що не враховуються в теорії плит і в програмних комплексах. Як правило в таких випадках пропонується застосовувати стрижневу апроксимацію [9, 13] або використовувати об’ємні скінчені елементи при моделюванні плит. Однак використання об’ємних скінчених елементів на порядок збільшує кількість невідомих в задачі. Крім того, використання об’ємних скінчених елементів в програмах Lira-SAPR, SCAD не передбачено при призначенні необхідного армування залізобетонних конструкцій.

У зв'язку з вищесказаним метою цієї статті є розроблення методики визначення дотичних напружень, що діють по товщині плити, з використанням даних класичного рішення для тонких плит

Виклад основного матеріалу. Інженерна методика врахування напружень τyz

Відомо, що неврахування дотичних напружень τyz, що діють по товщині плити, призводить до суттєвих похибок в оцінці тріщиноутворення і деформативності залізобетонних плит перекриттів. В переважній більшості проєктувальники використовують плоскі скінчені елементи, тому що використання об’ємних скінчених елементів при проєктуванні проблематично. Тому постає проблема: з одного боку використання плоских скінчених елементів дає суттєві похибки в визначенні дотичних напружень τyz,  з іншого боку саме такі схеми переважно використовуються при проєктуванні. 

Розглянемо інженерну методику врахування дотичних напружень τyz при використанні схеми з використанням плоских скінчених елементів. Як було сказано вище, моменти Mx, My, Mxy (Mxy визначається тільки від дотичних напружень в горизонтальному напрямку τxy) при використанні плоских скінчених елементів визначаються без суттєвих помилок. Для цього для прикладу розглянемо плиту прямокутну в плані, обперту по чотирьох кутах (найбільш розповсюджена схема плити перекриття в монолітному будівництві), схема якої показана на рис. 1.

Виріжемо подумки на рис. 1 частину плити з лівою нижньою колоною, причому по осі X – до половини плити (довжиною b), по осі Y – на відстані a<b, і розглянемо рівновагу цієї вирізаної частини (рис. 2).




Рис. 1. Схема плити, обпертій по кутах для аналізу




Рис. 2. Схема зусиль по відсіченій Г-подібній ділянці

На стороні x=b, яка паралельна осі Y, в силу симетрії поперечна сила Qx дорівнює нулю. Поперечна сила Qy в цій площині не розглядається. Крутний момент по цій лінії в силу симетрії схеми також дорівнює нулю. На вирізаній грані Y=a діють вертикальні напруження τyz і крутні моменти Mxy від горизонтальних дотичних напружень τxy. Значення величин Mxy, Mx, RA (реакція опори) визначаються із результатів розрахунку в програмному комплексі з використанням плоских скінчених елементів. Враховуючи, що визначення цих величин за теорією Кірхгофа, не викликає труднощів, то значення цих величин можна брати не обов’язково з використанням програмних комплексів.

З розрахунків з використанням об’ємних скінчених елементів було виявлено, що розподіл вертикальних напружень τyz є нерівномірним і має вигляд, показаний на рис. 3. Крім того на рис. 4 показані ізополя цих дотичних напружень, отримані в перерізі Y=a з використанням об’ємних скінчених елементів.




Рис. 3.  Функція зміни напружень τyz (вертикальна вісь – Н/см) від відносної відстані x/h (горизонтальна вісь) 




Рис. 4. Ізополя дотичних напружень τyz в перерізі Y=a з МСЕ-моделі з використанням об’ємних скінчених елементів

На рис. 3 та 4 показана ліва половина перерізу плити.  З рисунків 3 та 4 можна бачити, що напруження τyz мають суттєву концентрацію на торці перерізу, який є гранню плити. Такі напруження з’являються при крученні стрижня у вигляді тонкої полоси [6, 7], що було показано в [2, 13]. Пік напружень у грані є результатом кручення плити як стрижня у вигляді тонкої полоси. 

При чистому крученні стрижня у вигляді тонкої полоси графік зміни дотичних напружень τyz виглядає подібно рис. 3. Апроксимація функції зміни дотичних напружень τyz для чистого кручення має вигляд:




де τ0 – максимальні напруження на боковій грані переріз; η – коефіцієнт, який залежить від товщини стрижня у вигляді тонкої полоси; x – координата по ширині полоси, починаючи від її вертикальної бокової поверхні (див. рис. 4).

В тонкій полосі b/h>>1 в формулі (1) коефіцієнт η коливається в невеличких межах і становить  η=3/h… 3,5/h, де h – товщина полоси, і мало залежить від ширини полоси. Так, при товщині h=200 мм, значення коефіцієнта η=3,07.

По лінії, паралельній осі X, на відстані Y=a (див. рис. 2) в загальному будуть діяти погонні сили (напруження), показані на рис. 2.

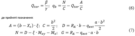
На рис. 2 прийняті позначення: qb ‒ погонні рівномірні внутрішні зусилля (практично – це погонні зусилля від балкової поперечної сили. Умовно вважаємо їх рівномірно розподіленими); qtor=qtor(x)– погонні зусилля, які виникають внаслідок кручення плити як стрижня у вигляді тонкої полоси; 

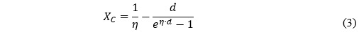
q0 – максимальне значення погонних зусиль від кручення (підлягає визначенню); d – ділянка по ширині перерізу плити, на якій затухають зусилля qtor; xc – координата центра ваги епюри qtor. 

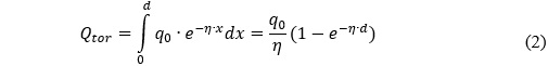
Погонні зусилля qtor – є сумою дотичних напружень по товщині h перерізу. Величина Qtor на рис. 2 є площею епюри зусиль qtor, яка визначається з інтегралу: 




Координата центру ваги кривої визначається із формули (1) відомим способом з математики:




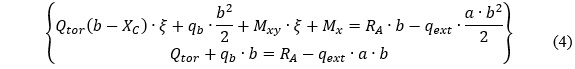
Схема за рис. 2 містить дві невідомі величини: qtor та qb. Для їх визначення складемо систему рівнянь – дві умови рівноваги системи. Перша умова – умова рівності нулю суми проєкцій всіх сил на вертикальну вісь Z; друга умова – умова рівності нулю моментів всіх сил відносно осу Y1 (див. рис. 2). З огляду на рис. 2 система рівнянь буде мати вигляд:




В системі 4 окрім показаних на рис. 2 прийняті позначення: 

qext – зовнішнє вертикальне навантаження на одиницю площі поверхні плити; Mxy – сумарний крутний момент Mxy по всій довжині b (паралельно осі X), отриманий з розрахунків з використанням плоских скінчених елементів; 

Mx – сумарний згинальний момент по довжині a (паралельно осі Y), також отриманий з розрахунків з використанням плоских скінчених елементів. 

Пояснимо значення коефіцієнта ξ у першому рівнянні системи (4). Перший і третій доданок першого рівняння (4) – це відповідно крутний момент, що сприймається дотичними силами qtor (від вертикальних напружень кручення  τyz) і крутний момент, що сприймається дотичними напруженнями τxy, які діють в горизонтальній площині і враховуються класичною теорією плит. Відомо, що при крученні стрижня прямокутного поперечного перерізу, торці якого не мають можливості переміщуватись, з’являється момент від депланації поперечного перерізу (позначимо його Mw). Друга частина крутного моменту – є моментом чистого кручення за Сен-Венаном (позначимо його Msv). В схемі, показаній на рис. 1, обмеження в депланації становлять тільки колони за рахунок їх згинальної жорсткості. Однак, навіть якщо ми знехтуємо жорсткістю колон, в плиті все одно будуть виникати моменти Mw. Це пов’язано з наступним фактом. Якщо плиту, що є континуальним середовищем, умовно розділити на смуги, то кожна смуга не може вільно депланувати, тому що сусідні смуги «скріплені» по ширині, а поле переміщень повинно бути однозначним (тобто один і той вузол плити не може мати два поздовжніх переміщення, які б відповідали різним депланаціям. Умовою, коли з’являється не нульовий Mw, є  неоднорідне закручування, тобто кут повороту перерізів міняється в плані плити. Таким чином Mw в плиті – це доля результуючого крутного ефекту, яка реалізована через 3D-механізм перешкоджанню депланації. Степінь впливу депланації залежить від умов закріплення стрижня, що піддається крученню [7, 15] Якщо ξ=1, то депланація не буде врахована. 

Приймемо позначення:




З врахуванням (5) завжди можна визначити коефіцієнт ξ, знаючи коефіцієнт α. А коефіцієнт α не важко визначити з попередніх розрахунків різних схем з використанням об’ємних скінчених елементів. Так, для квадратної плити, що показана на рис. 1, для величини a=b/2, коефіцієнт α становить приблизно α=0,05. Це означає, що відношення моменту від депланації Mw до Сен-Венановського моменту Msv дорівнює 0,05. В такому випадку коефіцієнт ξ буде мати значення ξ=1,05. 

Рішення системи рівнянь (4) дає нам значення невідомих:




Таким чином, ми отримали проста формули визначення погонних дотичних напружень qtor, які є напруженнями від впливу кручення і які не враховуються при розрахунках за теорією плит Кірхгофа-Лява. 

Слід відзначити, що при порівнянні даних, отриманих за запропонованою методикою, з даними зі схеми з використанням об’ємних скінчених елементів, треба використовувати значення qtot (див. рис. 2), бо в схемі з об’ємних скінчених елементів друкується сумарне значення дотичних напружень τyz. Крім того, в нашій схемі qb, qtor та qtot – це напруження (зусилля) на одиницю довжини плити, а в схемі з об’ємних скінчених елементів τyz – це напруження на одиницю площі. 

Знаючи визначену величину qtor, легко визначити розподіл дотичних напружень τyz по товщині плити, тому що qtor є площею епюри τyz по товщині плити. Враховуючи, що розподіл напружень τyz по товщині плити є параболічним [5, 8], то максимальне значення τyz,max в середині товщини плити визначається за формулою:




де h – товщина плити.

Знаючи значення τyz, за формулами опору матеріалів не важко визначити головні напруження, а по їх значенням з’ясувати, чи утворюється тріщина, чи ні, а також чи з’являються пластичні деформації в стиснутому бетоні, чи ні.

Перевірка методики. Розглянемо приклад визначення дотичних напружень τyz за запропонованою інженерною методикою і порівняємо результати з даними, отриманими з розрахунку з використанням об’ємних скінчених елементів. При цьому, зважаючи на сказане вище, напруження τyz, отримане з схеми з об’ємними скінченими елементами ми приведемо до погонних напружень наступним шляхом. В першому вертикальному стовпчику скінчених елементів (див рис. 4) складаємо всі вертикальні зусилля від напружень τyz, для цього ці напруження множим на їхню площу і ділимо на ширину елемента (в даному випадку крайні елементи мають висоту 2 см, ширину 1 см і їх кількість по висоті складає 10 шт. 

Нехай маємо квадратну в плані плиту, обперту по кутах на колони, навантажену рівномірно розподіленим навантаженням qext=10 кН/м2. Розмір в плані 2b=3000 мм. Розглядається переріз (див. рис. 1) a=750 мм. Товщина плити 200 мм. З розрахунку в програмі Lira-SAPR з використанням плоских скінчених елементів отримані такі дані: Mx=9,04 кН·м, Mxy=3,812 кН*м. 

Крім того, з аналізу об’ємної моделі отримано значення ξ=1,05; для товщини плити h=200 мм отримано η=3,07/h. Перевіркою з використанням об’ємних скінчених елементів встановлено, що значення Mx та Mxy не суттєво відрізняються від значень, отриманих з використанням плоских скінчених елементів.

При d=500 мм розрахунок за формулою (6) дає значення q0 =777,6 Н/см; qb=41,24 Н/см. Сумарне значення qtot= q0+ qb=818,9 Н/см. Сумарне значення τyz в схемі з об’ємних скінчених елементів з врахуванням схеми переведенні їх в напруження на одиницю довжини (в напрямку осі X на рис. 2) складає 

791,9 Н/см. Значення напружень τyz в перерахунку на погонні напруження qb в схемі з об’ємних скінчених елементів складає qb=39,9 Н/см. Похибка в порівнянні з об’ємними скінченими елементами для qtot складає 3,4%, а для qb – 3,3%.

В схемі з об’ємних скінчених елементів (див. рис. 4) ширина першого вертикального ряду елементів прийнята 1 см, а інших – 5 см. Це зроблено для отримання більшої точності у визначенні крайових дотичних напружень τyz.

Для інших відстаней a, де розглядається переріз для визначення напружень τyz, значення коефіцієнта α, а відповідно, і коефіцієнта ξ будуть мати інші значення. Залежності коефіцієнта α не важко отримати із попереднього аналізу відношення Mw/Msv, розглядаючи різні розрахункові схеми (відношення сторін плити в плані, схеми обпирання плити). Зробивши один раз такий системний аналіз, можна мати необхідні значення коефіцієнтів α для всіх схем, що зустрічаються на практиці.

Слід відзначити, що при збільшення величини d (див. рис. 2) в порівнянні з прийнятим (див. вище) не суттєво змінює величини q0 ta qtor(x) через експоненціальне зменшення напружень за формулою (1).

Таким чином, розроблена інженерна методика дозволяє скорегувати визначення дотичних напружень τyz, діючих по товщині плити, які не враховуються теорією Кірхгофа-Лява з використанням положень саме цієї теорії з добавленням напружень, що наведені в запропонованій методиці. 

Висновки. Показано, що при розрахунку плит за теорією тонких плит Кірхгофа не враховуються дотичні напруження по товщині плити. Це призводить до суттєвих помилок у визначенні поперечних сил на вільних гранях плити, біля опор, отворів і зосереджених сил. В статті наведена інженерна методика розрахунку, яка дозволяє врахувати ці напруження з застосуванням теорії плит, але з додаванням виведеної простої формули. Порівняння розрахунків за розробленою методикою з розрахунком в програмному комплексі Lira-SAPR із застосуванням об’ємних скінчених елементів показала добру збіжність. Показано, що правильне визначення дотичних напружень дозволяє більш точно визначити головні напруження і, як результат, значно точніше визначати появу тріщин в залізобетонних елементах.

Список літератури

1. Azizov T., Kochkarev D.. Limits of Using the Theory of Plates in the Calculation of Reinforced Concrete Slabs. Sciences of Europe. 2023. № 111. P. 28-32.

2. Azizov T., Pereiras R. The Influence of Tangential Torsional Stresses on the Stressed-deformed State of Reinforced Concrete Floors // Science of Europe. #129 (2023) – p. 162-166.

3. Filon L.N.G. On the Resistance to Torsion of Certain Forms of Shafting, with Special Reference to the Effect of Keyways, 1851. Exhibition Science Research Scholar. Communicated by Professor M.J.M.Hill, 1899. - P.428-432.

4. James K. Wigt, James G. MacGregor. Reinforced concrete. Mechanics and Design. Boston – New York, 2012. – 1157 p.

5. Love A.E.H. A Treatise on the Mathematical Theory of Elasticity// Journal: Nature , vol. 74, 1908, pp. 74-75.

6. Saint-Venant, Mémoire sur l’equilibre des corps solides, dans les limites de leur élastique, et sur les conditions de leur résistance, quand les déplacements éprouves par leurs points ne sont pas tres-petist. Mem. de l’Acad. des Sci. 24 (1847), 260-263.

7. Timoshenko S. Theory of elasticity. London-New-York, 1934. – 451 p.

8. Timoshenko S., Woinowsky-Krieger. Theory  of Plates and Shells. New York Toronto London, 1959. – 635 p.

9. Yettram A. L., Husain H.M. The Representation of a Plate in Flexure by a Grid of Orthogonally Connected Beams. Pergamon Press Ltd. International Journal of Mechanical Sciences. 1965. Vol. 7. Р.243-251.

10. Zienkiewicz O.C. The finite element method in engineering science.  Mcgraw-Hill-London, 1971. 540 p.

11. Азізов Т.Н., Ковров А.В., Перейрас Р. До питання скінчено-елементного моделювання при розрахунку залізобетонних плит// Ресурсоекономні матеріали, конструкції, будівлі та споруди. Вип. 45. – Рівне: Нац. ун-т водного господарства та природокористування, 2024. – С. 85-95. 

12. Городецький А.С., Євзеров І.Д. Комп’ютерні моделі конструкцій. – К., 2007. – 394 с.

13. Перейрас Р. Робота елементів залізобетонних перекриттів та перехресно-балкових систем з урахуванням кручення. Дис… докт. Філософії. Одеса, 2025. – 248 с.

14. Програмний комплекс Ліра-Сапр. Приклади розрахунку і проектування. https://www.liraland.ua/files/lira/format-pdf/

15. Яременко, О.Ф., Школа Ю.А. Несуча здатність та деформативність залізобетонних стержневих елементів в складному напруженому стані. Одеса: Евен, 2010. – 134 с.



Creative Commons Attribution Ця робота ліцензується відповідно до Creative Commons Attribution 4.0 International License

допомогаЗнайшли помилку? Виділіть помилковий текст мишкою і натисніть Ctrl + Enter


 Інші наукові праці даної секції
ДОСЛІДЖЕННЯ ВПЛИВУ МОРФОЛОГІЧНИХ ПАРАМЕТРІВ ПОРИСТОГО КРЕМНІЮ НА СПЕКТРАЛЬНІ ХАРАКТЕРИСТИКИ ПРОПУСКАННЯ В ІНФРАЧЕРВОНІЙ ОБЛАСТІ
27.01.2026 19:04
МАТЕМАТИЧНЕ МОДЕЛЮВАННЯ ВПЛИВУ ТОЧКОВИХ ДЕФЕКТІВ НА ПРУЖНІ ВЛАСТИВОСТІ ПОРИСТОГО КРЕМНІЮ
27.01.2026 14:19
SCALE-DEPENDENT THERMAL CONDUCTIVITY IN HETEROGENEOUS MEDIA
27.01.2026 13:51
ОСОБЛИВОСТІ МЕТРОЛОГІЧНИХ ВИПРОБУВАНЬ ПРИСТРОЇВ ДЛЯ ЗВАЖУВАННЯ ТА ВИЗНАЧЕННЯ ЦЕНТРУВАННЯ ЛІТАЛЬНИХ АПАРАТІВ
26.01.2026 22:19
АРХІТЕКТУРНІ СТИЛІ ДЛЯ СИСТЕМ РЕАЛЬНОГО ЧАСУ (МОНОЛІТНІ, МІКРОСЕРВІСНІ, ПОДІЄВО-ОРІЄНТОВАНІ)
16.01.2026 13:40
ВИБІР АПАРАТНО-ПРОГРАМНОЇ ПЛАТФОРМИ: ВБУДОВАНІ СИСТЕМИ, SOC, FPGA
16.01.2026 13:20
RESEARCH ON THE DEPENDENCE OF THE BELT WIDTH OF A STEEPLY INCLINED CONVEYOR WITH A PRESSURE BELT ON THE DESIGN PRODUCTIVITY
16.01.2026 11:55




© 2010-2026 Всі права застережені При використанні матеріалів сайту посилання на www.economy-confer.com.ua обов’язкове!
Час: 0.186 сек. / Mysql: 2038 (0.152 сек.)