:: ECONOMY :: MATHEMATICAL MODELS OF HEMODYNAMICS :: ECONOMY :: MATHEMATICAL MODELS OF HEMODYNAMICS
:: ECONOMY :: MATHEMATICAL MODELS OF HEMODYNAMICS
 
UA  PL  EN
         

Світ наукових досліджень. Випуск 52

Термін подання матеріалів

19 травня 2026

До початку конференції залишилось днів 3



  Головна
Нові вимоги до публікацій результатів кандидатських та докторських дисертацій
Редакційна колегія. ГО «Наукова спільнота»
Договір про співробітництво з Wyzsza Szkola Zarzadzania i Administracji w Opolu
Календар конференцій
Архів
  Наукові конференції
 
 Лінки
 Форум
Наукові конференції
Наукова спільнота - інтернет конференції
Світ наукових досліджень www.economy-confer.com.ua

 Голосування 
З яких джерел Ви дізнались про нашу конференцію:

соціальні мережі;
інформування електронною поштою;
пошукові інтернет-системи (Google, Yahoo, Meta, Yandex);
інтернет-каталоги конференцій (science-community.org, konferencii.ru, vsenauki.ru, інші);
наукові підрозділи ВУЗів;
порекомендували знайомі.
з СМС повідомлення на мобільний телефон.


Результати голосувань Докладніше

 Наша кнопка
www.economy-confer.com.ua - Економічні наукові інтернет-конференції

 Лічильники
Українська рейтингова система

MATHEMATICAL MODELS OF HEMODYNAMICS

 
24.09.2025 12:26
Автор: Viktor Volodymyrovych Novytskyy, Doctor of Physical and Mathematical Sciences, Professor, leading researcher, Institute of Mathematics of the National Academy of Sciences of Ukraine, Kyiv, Ukraine; Ulyana Bohdanivna Lushchyk, Doctor of Medical Sciences, Professor, Academician of the Academy of Technological Sciences of Ukraine, research supervisor, Veritas Research Center, Kyiv, Ukraine; Viktor Viktorovych Novytskyy, Junior Researcher, Veritas Research Center, postgraduate student, Institute of Mathematics of the National Academy of Sciences of Ukraine, Kyiv, Ukraine
[18. Медичні науки;]

ORCID: 0009-0006-8605-2822 V.V.Novytskyy

ORCID: 0009-0005-1088-0050 U.B.Lushchyk

MATHEMATICS AND LOGICS OF THE LIVING ORGANISM FUNCTIONING 

The history of the development of natural sciences convincingly testifies to the need for their mathematization. In particular, researchers have repeatedly addressed the problems of applying mathematics in medicine and concluded that medicine is one of the branches of human knowledge in which fruitful and constructive results can be expected from the application of mathematics. [1].

Today methods of mathematical modeling of physiological processes in the human body have acquired a new quality due to the enormous potential of intravital objectification using powerful diagnostic devices and systems. 

A model is a simplified description of an object for the purpose of studying its properties, written in some language understandable to researchers (mathematics, physics, etc.). Such a description is especially useful in cases where direct study of the object itself is difficult or physically impossible [2].

Most often, another, simpler object acts as a model, which replaces the original object during the study. Modelling is a process of building a model and studying it.

Thus, a model is a kind of cognitive tool that the researcher places between himself and the object, and with the help of which he studies any interested objects.

Traditionally in order to describe a model of the studied object, in addition to mathematics and physics, medicine includes various facts from anatomy, physiology and other sciences.

Since this article is devoted to the problems of rehabilitation, there is a need to study models of the process of human rehabilitation, both global (general rehabilitation of the body) and local (rehabilitation of heart attack, stroke and other patients). 

Mathematical models can be written as a set of formulas or equations that are believed to adequately reflect the object or process under study. To obtain certain conclusions about the dynamics, it is necessary to find solutions to these equations, which is often a difficult problem [3]. There is another way to write a mathematical model, namely in the form of an algorithm (algorithmic model), which is a verbal description of the set of steps that the researcher must take to achieve a certain result and conclusions about the modelled object and its dynamics. In fact, this algorithm, which is traditionally obtained from qualitative considerations, is often a description of the mathematical solution mentioned above.

A MODEL OF THE FUNCTIONING OF A LIVING SYSTEM

The human body, like any living organism, should be considered as a complex dynamic system created by nature. At the current stage of scientific development, a living organism is modeled, in particular, as a cybernetic system with numerous constant and variable parameters that characterize its dynamics and take an active part in the processes of regulation and control [1, 2].

Therefore, today we should talk not only about the diagnosis of structural changes in the human body, but also about the study of adaptive mechanisms for restructuring a living system under certain external factors.

Namely, during pathological processes inside the body. Often in such a situation, the term "reactivity" is used, that is, the ability to adequately restructure a living system, as well as the speed of decision-making by the system itself and the speed of implementation of this decision.

From the point of view of the hierarchy of the functioning of a living system, we consider the body as an integrated system with numerous indicators that work on the principle of feedback and are subordinate to a single center. Only such a hierarchy allows us to build the principle of subordination of different control levels.

It is worth taking a polyvector approach to understanding the complex hierarchy of a living system and virtually imagining it in three dimensions:

1. Macro- and micro-level of organization of processes in a living organism.

2. Level of life support:

• minimum for preserving life,

• average (background) – to ensure the vital activity of the organism,

• high (reserve) – to support the organism during overloads.

3. Hierarchical level of balance:

• hydrodynamic level,

• hemodynamic level,

• neurodynamic level.

For rehabilitation processes, it is important to apply the Arndt–Schulz law (1883), which distinguishes different types of body responses depending on the strength of the nervous system stimulus:

• weak stimuli stimulate vital activity;

• medium-strength stimuli are positively perceived by a living organism according to the principle of resonance;

• strong – suppress it;

• extremely strong – destroy.

All living organisms function according to the principle of a stable equilibrium of two mutually opposing vectors of influence:

• arteriovenous balance,

• harmonious development – disproportionate ontogenesis,

• excitation – inhibition, etc..

1. From the point of view of the laws of mathematical modelling, living organisms exist as a holistic system with a clear hierarchy system. Violation of the subordination of certain brain systems leads to a reprofiling of the magnitude and vector of excitation, violation of the synchronization processes of all involved links.

2. A living system functions as a hybrid system with the combination and simultaneous existence of two systems - mechanical and electronic control with their partial mutual subordination. The mechanical system is more durable compared to the hybrid.

3. Therefore, the absence of pathological paroxysms, a decrease in their frequency and duration on the background of the harmonious development of the patient's personality and the equalization of the balance of different vector regulatory systems should be regarded as the ultimate goal in the treatment of patients with a psychoneurological profile. An exception may be paradoxical reactions that indicate an imbalance or failure in a particular response system, and they must be taken into account and foreseen at the beginning of treatment.

Paradoxical reactions of an unbalanced organism can lead to a significant deterioration in the patient's condition compared to the background disease state.

On the basis of Istyna Research Centre (now Victoria-Veritas), an integrated study of patients with various convulsive reactions has been ongoing for many years. As part of a multidisciplinary approach, 1,539 patients aged from 3 months to 76 years (average age was 23 years) with various diseases of a psychoneurological profile (ranging from perinatal encephalopathy, VSD and with severe CNS lesions up to apallic syndrome) have been examined. All patients underwent an integrated clinical and instrumental check-up using EEG, ultrasound of vessels and organs, including ultrasound of cerebral vessels, ECG, and smart capillaroscopy. In general, a third of patients managed to achieve stable remission, the duration of the period without seizures and without anticonvulsant therapy has reached even one to three years. 

A MODEL FOR RESEARCHING BLOOD CIRCULATION

Such studies are especially important for the cardiovascular system, which can be objectified by various ultrasound devices, which, in particular, use the Doppler effect to determine the speed and other parameters of blood circulation.

We believe that mathematical modelling of processes in the vascular system for constructiveness should be based on certain medical methods that have proven themselves well in medical practice and provide objective information about the state of blood vessels and blood circulation in vivo.

Let us briefly describe one of such methods, namely the method of ultrasound diagnostics of cerebral vessels (USDV). It is based on local measurements of linear blood flow velocity and finding special indices that are calculated by the diagnostic device.

The algorithm of the USDV method is as follows: studies are carried out on the common carotid arteries, internal carotid, vertebral, ophthalmic, both anterior, middle and posterior cerebral arteries, and the main artery. Venous blood flow is examined in both internal jugular veins, the vertebral venous lace, and the cerebral sinuses - direct, transverse, and sagittal. 

USDV has significant advantages over other diagnostic methods due to its non-invasiveness, the possibility of observation in dynamics, the possibility of observation using functional compression tests, drugs and surgical treatment methods, as well as high informativeness and the absence of harmful effects on the patient's body.

An important condition for the adequacy of diagnostic manipulation is the quantitative and qualitative interpretation of the graphic image of the blood flow velocity and its changes depending on the tone, elasticity of the vascular wall, the interdependence of intravascular and intracranial pressures, the presence of tortuosity and dystonia of arteries and veins, etc.

This stage of interpreting the results of vascular studies that mathematical modelling helps to objectively assess the information obtained from the diagnosis.

The method of ultrasound diagnostics of pathology of arterial and venous vascular beds of the brain (patent of the State Patent Office of Ukraine N10262A dated 09.07.95) was developed by Lushchyk U.B., certified in Ukraine and widely used in relevant medical institutions.

MATHEMATICAL MODEL FOR PRESSURE IN AN ARTERY BASED ON THE ELASTIC FRANK MODEL UNDER THE CONDITION OF VARIABLE ELASTICITY OF THE WALL

When modelling blood flow in arterial vessels, the problem with variable wall elasticity is relevant, for which the Frank model is constructive [2, 3, 4] in a form:                                                                                                

                                         𝐶(𝑡)·𝑃′(𝑡) + 𝑃(𝑡)/𝑅 = 𝑄(𝑡),   

where C(t)- vessel capacity, P(t)- pressure, Q(t)- volumetric blood flow velocity, R- hydraulic resistance.                  Since C(t) is a variable that reflects the elastic properties of the vessel wall, the problem of finding the pressure P(t) is posed for known Q(t) and R.

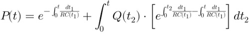
It is known that in our case there is an analytical solution of the form: 



which allows to calculate the pressure P(t) in the vessel depending on the changes in the elasticity of its wall. This approach is used, in particular, for mathematical modelling of hemodynamics in the pulse mode of blood flow, when the flow Q(t) is known experimentally, for example, according to the data of ultrasound scanning, Dopplerography and arterial smart tonometry [3. 4]. 

The obtained analytical solution allows to find the pressure P(t) in the artery at a given flow profile Q(t) and a known capacity function C(t), which describes the variable elasticity of the vessel wall.

Using the results of these calculations, it is possible to reproduce the pressure profile, taking into account the measured characteristics of the blood flow, in particular the linear and volumetric velocities, and the experimentally determined elastic properties of the vessel wall. This provides the possibility of accurate modelling of the state of the vascular system under pulse load conditions.

SOME QUALITATIVE MODELS OF BLOOD MOVEMENT AND VASCULAR WALL 

Let us briefly describe the mechanism of blood circulation through the vessel. The heart, contracting, in a short period of time delivers a portion of blood to a part of the vessel, due to which the pressure here increases. Due to the inertia of the blood, this will not cause its movement through the vessel, but the expansion of the vessel and the entry of blood into it. Then the elastic forces of the vessel walls will push the excess blood into the neighbouring part, where all the described events will be repeated. Thanks to this mechanism, pressure pulses, blood flow velocity and deformation of the vascular wall spread through the vessel. The speed of propagation of the pressure pulse (i.e., pulse) is much higher than the average blood flow velocity.

Some well-known mechanical models can be effectively applied to the study of blood flow. For example, consider a mechanical model of the movement of a garden caterpillar. It can be imagined as an elongated deformable body lying on a rigid surface. The way a garden caterpillar moves can be explained as follows. At one (for example, left) end of the body, a small curved (convex) part ("wave") is formed by the force of the caterpillar's muscles, which is then also moved by the force of the muscles to the left (right) end of the body, where, disappearing, it moves the caterpillar's body a short distance. Therefore, as a result of the described wave movement, the caterpillar's body is displaced relative to the surface by a small distance dx in the direction of the wave movement. When such a wave is repeated, the caterpillar's body will again move in the same direction, etc. In the case under consideration, the wave carries mass. Under certain conditions, such waves may not carry mass, that is, there is movement, but the body does not move (as if stomping in one place). This model can to some extent explain the movement of blood through a vessel, as well as the occurrence of pathological conditions of vascular tortuosity when taking into account the friction of blood against the vessel walls. 

A model of an earthworm movement. Like a garden caterpillar, it moves along a hard surface by periodically deforming its body, but the nature of the deformation of the worm's body is fundamentally different from the deformation patterns of the caterpillar. If the caterpillar's body is deformed by a transverse wave, then the worm's body is deformed by a longitudinal wave. The method of movement of the earthworm can be depicted as follows. At one (for example, right) end of the body, a small stretched (elongated) part (longitudinal wave) is formed, which then shifts to the right (left) end, where it disappears, and the initial elongated thin part of the body acquires its initial normal shape and is shifted to the right relative to its initial position. Therefore, as a result of such a wave passing through the worm's body, the body itself turns out to be displaced relative to the surface by some small distance dx in the direction opposite to the direction of wave movement. The described model can explain to some extent the pathological processes associated with cerebral vascular spasm. In particular, the fact that spasm can be dynamic, that is, propagate in the form of a longitudinal wave of deformation along the vessels, taking into account angioarchitectonics.

MODELS OF BRAIN FUNCTIONING

It is obvious that the effectiveness of rehabilitation depends primarily on the state of the human brain.

Today, a brain model is understood as any theoretical representation that explains the physiological and pathological functions of the brain using the laws of physics and mathematics, as well as from the point of view of neuroanatomy and neurophysiology. The main properties of the brain are determined by the topological structure of the network of nerve cells (neurons) and the dynamics of the propagation of impulses in this network.

It is important to note that no one has yet been able to identify in individual elements or cells of the nervous network any specific psychological function, such as memory, self-awareness or reason. This gives reason to assume that such properties are not inherent in individual elements, but are associated with the organization and functioning of the nervous network as a whole. 

If the opinions of scientists on these issues mostly coincide, then they significantly diverge on the question of how much the methods of storing, retrieving and processing information in the brain correspond to the methods used in modern technology. On the one hand, there is a point of view according to which the brain works according to predetermined algorithms, close to the algorithms used in digital machines (monotypic models), on the other hand, there is an opinion that the brain does not function on the basis of deterministic algorithms, and its functions have little in common with the known logical and mathematical algorithms in digital machines, and the most significant are probabilistic methods and adaptation mechanisms (genotypic models). The emergence of artificial intelligence further exacerbates these pressing issues. The model of brain functioning described above is far from the possibility of its application in rehabilitation processes, therefore, in the future we propose such a general algorithmic model of the human brain and its local models. 

We will consider the brain as the commander-in-chief of the entire organism. It controls the work of all parts of the human body, both in a normal physiological state and in a pathological state (when control is inadequate on the basis of impaired physiological functions). The brain has a powerful feedback mechanism that allows it to indicate the states of organs and systems of the entire organism and sends it the necessary information to make adequate management decisions. In a pathological state, in particular, violations occur in the processes of indication, or in feedback, or in making management decisions. Various variants and combinations of violations are practically possible.

The main task of rehabilitation is precisely to transfer the brain from a pathological to a normal state and restore all its physiological functions using appropriate effective diagnostic and treatment methods (rehabilitation algorithms).

Since the brain continuously functions and develops throughout a person's life, the so-called local models of its functioning are obvious, namely:

1. Primitive (minimal brain function).

2. Body self-care model (1-year-old child).

3. Learning and experience model (2 to 20 years).

4. Creative brain (20-50 years).

5. Aging brain (over 50 years).

ALGORITHM OF CONVULSIVE REACTION OF A LIVING SYSTEM. 

A MULTIDISCIPLINARY APPROACH

Convulsive reactions of a living organism have long been of scientific and practical interest to researchers, remaining an incomprehensible reaction of living organisms to certain CNS lesions. Naturally, the result of the treatment of such reactions is directly related to the understanding of the pathogenesis of the emergence and development of the convulsive component of the response. Therefore, the absence of convulsive attacks, a decrease in their frequency and duration on the background of the harmonious development of the patient's personality should be regarded as the ultimate goal in the treatment of this contingent of patients.

Here are some aspects of the algorithm for the formation of a convulsive reaction as a logical response of a living organism to an inadequate stimulus.

1. The energy supply of a living system is also subject to the laws of energy conservation and the transition of quantity into quality. It is impossible not to take into account the phenomenon of "calm before the storm": as an echo of the nature of storms, tornadoes, before a convulsive attack, most patients experience phenomena of local irritation of the cerebral cortex - various types of auras, in other patients there is an expressed inhibition of brain functions - spontaneous abulia, impaired synchronization of higher cortical functions, absent-mindedness, conflict, obsessiveness in communication, akayria.

2. Disproportionate development of the brain of children with mosaic overexcitation of some areas and expressed inhibition of others causes a background hemodynamic and energy imbalance.

3. Demonstrative-hysteroid type of behaviour, which is formed in children, also begins initially with local overexcitation - a reaction of loud crying without tears with a gradual expansion of the artistic effect in the motor sphere, in particular, synchronous frequent twitching of the limbs up to fainting. In fact, this is a fixed convulsive reaction to the negative with the impossibility or unwillingness of productive verbal contact to achieve agreement.

4. Brain memory - in patients who have had convulsive seizures in the anamnesis, these seizures may recur in the presence of unexpected adverse factors for the brain - stressful situations, night sleep disorders, etc.

5. The effect of bare wires - with a short circuit, multi-vector switching and scattering-excitation (of an electrical impulse) along the nerve fiber on the background of edema of the brain tissue.

6. Motor uncontrolled excitation in the form of partial or generalized seizures is actually the main syndrome that is visually the most frightening during a seizure.

7. The horizontal position of the patient's body during a seizure is hemodynamically justified by the need to equalize pressures and hemodynamic-water balance throughout the body.

8. The concentration of anticonvulsant drugs in the ulnar vein can differ significantly from the concentration of these drugs in areas of the brain, especially in the presence of the phenomenon of arteriovenous shunting into the cavernous or other sinuses of the brain. 

9. Stress reactions that are recorded in the brain and not neutralized during psychotherapy sessions can trigger scary dreams with a nighttime seizure.

10. Today, a comprehensive objectification of the state of all brain systems (the brain) is urgently needed under the control of modern diagnostic equipment for adequate and correct tactics of managing a patient with convulsive reactions, preferably from the phase of the disease debut.

Thus, the “disconnection” of the patient’s consciousness and the body’s convulsive reactions should be considered as pathological-sanogenic, that is, the body’s attempts to independently get out of an unusual situation or at least report on troubles in a living organism. The hybrid living system in its functioning provides for an emergency transition to a system of hard protective restart of the body without direct intervention by the patient himself. However, this does not mean that it will be able to independently overcome all existing breakdowns in the body. “Do not harm the brain and help it control the situation” – this is the approach that should form the basis of today’s trends in the treatment of patients with convulsive attacks, in contrast to the unambiguous blocking of visual convulsive reactions with high doses of anticonvulsants. In our clinical practice, the above-mentioned approach has yielded significant positive results.

“This work was supported by a grant from the Simons Foundation (SFI-PD-Ukraine-00014586, NVV, NViVi.)”.

References

1. Alekseeva T.S., Branitska N.S., Lushchyk U.B., Novytskyy V.V., Frantsevich K.A. Some modern mathematical models of hemodynamics: Questions of mathematics and its applications // Proceedings of the Institute of Mathematics of the NAS of Ukraine. Kyiv, 2002. pp. 18-24. 

2. Westerhof N., Stergiopulos N., Noble M. Snapshots of Hemodynamics. An Aid for Clinical Research and Graduate Education. 3rd ed. — Springer International Publishing AG, part of Springer Nature 2019. p.314. DOI: https://doi.org/10.1007/978-3-319-91932-4

3. Stergiopulos N., Westerhof B.E., Westerhof N. Total arterial inertance as the fourth element of the Windkessel model. American Journal of Physiology - Heart and Circulatory Physiology, 1999, 276(1): р81–88.

4. Novytskyy V.V. Analytical model of pressure in a vessel based on the Frank elastic model under conditions of variable wall elasticity. VIII International Scientific Conference "Modern Problems of Mechanics", 2025.



Creative Commons Attribution Ця робота ліцензується відповідно до Creative Commons Attribution 4.0 International License

допомогаЗнайшли помилку? Виділіть помилковий текст мишкою і натисніть Ctrl + Enter


 Інші наукові праці даної секції
ГОМЕОКІНЕТИЧНА КЛАСИФІКАЦІЯ АСТМАТИЧНОГО СИНДРОМУ ТА ДИХАЛЬНА ГІМНАСТИКА
30.08.2025 11:05
ГОМЕОКІНЕТИЧНА КЛАСИФІКАЦІЯ МЕНОПАУЗАЛЬНОГО СИНДРОМУ ТА СЕКСУАЛЬНІ РОЗЛАДИ
30.08.2025 10:51
КОНВЕРСІЯ ТУРНІКЕТУ В УКРАЇНІ
28.08.2025 11:35
БЛОКАТОРИ НАТРІЄВИХ КАНАЛІВ NAV1.8 ЯК ПОТЕНЦІЙНО НОВИЙ ШЛЯХ АНАЛГЕЗІЇ
24.09.2025 13:03
MICROVASCULAR VASCULITIS: FROM LIVE VISUAL VERIFICATION OF CHANGES IN MICROANGIOARCHITECTONICS AND BLOOD FLOW TO HEMODYNAMICALLY BASED PATHWAYS OF ANGIOCORRECTION
24.09.2025 12:03
CURRENT CHALLENGES OF 21ST CENTURY CIVILIZATION AND THE CULT OF HEALTH: VALEOLOGY AND HEALTH-SAFE TECHNOLOGIES IN REHABILITATION AND SPORTS
24.09.2025 11:45
МАТЕМАТИЧНІ МОДЕЛІ ГЕМОДИНАМІКИ
24.09.2025 10:08
СУЧАСНІ ВИКЛИКИ ЦИВІЛІЗАЦІЇ ХХІ СТОЛІТТЯ ТА КУЛЬТ ЗДОРОВ’Я: ВАЛЕОЛОГІЯ ТА ЗДОРОВЯЗБЕРЕЖУЮЧІ ТЕХНОЛОГІЇ В РЕАБІЛІТАЦІЇ ТА СПОРТІ
23.09.2025 22:18
ВАСКУЛІТИ МІКРОСУДИННОГО РУСЛА: ВІД ВІЗУАЛЬНОЇ ВЕРИФІКАЦІЇ НАЖИВО ЗМІН МІКРОАНГІОАРХІТЕКТОНІКИ ТА КРОВОПЛИНУ ДО ГЕМОДИНАМІЧНО ОБГРУНТОВАНИХ ШЛЯХІВ АНГІОКОРЕКЦІЇ
23.09.2025 22:06
ОСОБЛИВОСТІ ВПЛИВУ ЦИРКАДНИХ РИТМІВ НА РОБОТУ СЕРЦЕВО-СУДИННОЇ СИСТЕМИ
23.09.2025 06:45




© 2010-2026 Всі права застережені При використанні матеріалів сайту посилання на www.economy-confer.com.ua обов’язкове!
Час: 0.169 сек. / Mysql: 2067 (0.128 сек.)