:: ECONOMY :: МАТЕМАТИЧНІ МОДЕЛІ ГЕМОДИНАМІКИ :: ECONOMY :: МАТЕМАТИЧНІ МОДЕЛІ ГЕМОДИНАМІКИ
:: ECONOMY :: МАТЕМАТИЧНІ МОДЕЛІ ГЕМОДИНАМІКИ
 
UA  PL  EN
         

Світ наукових досліджень. Випуск 52

Термін подання матеріалів

19 травня 2026

До початку конференції залишилось днів 3



  Головна
Нові вимоги до публікацій результатів кандидатських та докторських дисертацій
Редакційна колегія. ГО «Наукова спільнота»
Договір про співробітництво з Wyzsza Szkola Zarzadzania i Administracji w Opolu
Календар конференцій
Архів
  Наукові конференції
 
 Лінки
 Форум
Наукові конференції
Наукова спільнота - інтернет конференції
Світ наукових досліджень www.economy-confer.com.ua

 Голосування 
З яких джерел Ви дізнались про нашу конференцію:

соціальні мережі;
інформування електронною поштою;
пошукові інтернет-системи (Google, Yahoo, Meta, Yandex);
інтернет-каталоги конференцій (science-community.org, konferencii.ru, vsenauki.ru, інші);
наукові підрозділи ВУЗів;
порекомендували знайомі.
з СМС повідомлення на мобільний телефон.


Результати голосувань Докладніше

 Наша кнопка
www.economy-confer.com.ua - Економічні наукові інтернет-конференції

 Лічильники
Українська рейтингова система

МАТЕМАТИЧНІ МОДЕЛІ ГЕМОДИНАМІКИ

 
24.09.2025 10:08
Автор: Новицький Віктор Володимирович, доктор фізико-математичних наук, професор, провідний науковий співробітник, Інститут математики Національної академії наук України, м. Київ, Україна; Лущик Уляна Богданівна, доктор медичних наук, професор, академік Академії технологічних наук України, науковий керівник, Науковий центр "Верітас", м. Київ, Україна; Новицький Віктор Вікторович, молодший науковий співробітник, науковий центр "Верітас", аспірант, Інститут математики Національної академії наук України, м.Київ, Україна
[18. Медичні науки;]

ORCID: 0009-0006-8605-2822 Новицький В.В.

ORCID: 0009-0005-1088-0050 Лущик У.Б.

Математика та логіка функціонування живого організму

Історія розвитку природничих наук переконливо свідчить про необхідність їх математизації. Зокрема, неодноразово дослідники зверталися до проблем застосування математики в медицині та доходили висновку, що медицина є однією з галузей людського знання, в якій від застосування математики можна очікувати плідних та конструктивних результатів [1].

Методи математичного моделювання  фізіологічних процесів в організмі людини на сьогоднішній день набули нової якості за рахунок величезних можливостей прижиттєвої об'єктивізації за допомогою потужних діагностичних приладів та систем. 

Модель — спрощений опис об'єкта з метою вивчення його властивостей, складений  якою-небудь зрозумілою для дослідників мовою (математика, фізика й т.ін.). Такий опис особливо корисний у випадках, коли безпосереднє дослідження самого об'єкта ускладнене або фізично неможливе [2].

Найчастіше в ролі моделі виступає інший, простіший об'єкт, який замінює під час дослідження об'єкт-оригінал. Процес побудови моделі та її дослідження називається моделюванням.

Таким чином, модель є своєрідним інструментом пізнання, який дослідник ставить між собою й об'єктом, і за допомогою якого вивчає цікавий для себе об'єкт.

У медицині традиційно для опису моделі об'єкта дослідження долучаються, крім математики та фізики, також різноманітні факти з анатомії, фізіології та інших наук.   

Оскільки ця стаття, зокрема, присвячена проблемам реабілітації, то виникає необхідність дослідження моделей саме процесу реабілітації людини, як глобальних (загальна реабілітація організму) так і локальних (реабілітація інфарктних, інсультних та інших пацієнтів). 

Математичні моделі можуть бути записані у вигляді певного набору формул чи  рівнянь, які, як вважається, адекватно відображають досліджуваний об’єкт чи процес. Для отримання певних висновків про динаміку необхідно знайти розв’язки цих рівнянь, що часто є складною проблемою [3]. Є інший спосіб запису математичної моделі, а саме у вигляді алгоритму (алгоритмічна модель), що являє собою словесний опис набору кроків, який повинен зробити дослідник, щоб прийти до певного результату та висновків про модельований об’єкт та його динаміку. Насправді цей алгоритм, який традиційно  отримується з якісних міркувань, часто є описом згадуваного вище математичного розв’язку.

МОДЕЛЬ ФУНКЦІОНУВАННЯ ЖИВОЇ СИСТЕМИ

Людський організм, як і будь-який живий організм, слід розглядати як створену природою складну динамічну систему. На сучасному етапі розвитку науки живий організм моделюється, зокрема, як кібернетична система із численними постійними та змінними параметрами, які характеризують його динаміку, беруть активну участь у процесах регуляції та керування [1, 2].

Тому сьогодні мова повинна йти не лише про діагностику структурних змін у людському організмі, але й про дослідження адаптивних механізмів перебудови живої системи за тих чи інших зовнішніх чинників.

А саме при патологічних процесах у самому організмі. Нерідко в такій ситуації вживається термін "реактивність", тобто здатність до адекватної перебудови живої системи, а також швидкість прийняття рішення самою системою та швидкість виконання цього рішення.

Із погляду ієрархії функціонування живої системи ми розглядаємо організм як цілісну систему з численними індикаторами, які працюють за принципом зворотного зв'язку й підпорядковуються єдиному центру. Лише така ієрархія дозволяє вибудувати принцип субординації та чіткого підпорядкування різних рівнів керування.

Варто полівекторно підходити до розуміння складної ієрархії живої системи й віртуально її уявити в трьох вимірах:

1. Макро- та мікрорівень організації процесів у живому організмі.

2. Рівень забезпечення життя:

• мінімальний для збереження життя,

• середній (фоновий) – для забезпечення життєдіяльності організму,

• високий (резервний) – для підтримки організму при перевантаженнях.

3. Ієрархічний рівень балансу:

• гідродинамічний рівень,

• гемодинамічний рівень,

• нейродинамічний рівень.

Для процесів реабілітації важливим є застосування закону Арндта–Шульца (1883р.), за яким розрізняють різні види відповідей організму залежно від сили подразника нервової системи:

• слабкі подразники стимулюють життєдіяльність;

• середньої сили подразники – позитивно сприймаються живим організмом за принципом резонансу;

• сильні – пригнічують його;

• надсильні – руйнують.

Усі живі організми  функціонують за принципом стійкої рівноваги двох взаємопротилежних векторів впливу:

артеріовенозна рівновага,

гармонійний розвиток – диспропорційний онтогенез,

збудження – гальмування тощо.

1. Із погляду законів математичного моделювання живі організми існують як цілісна система з чіткою системою ієрархії. Порушення субординації тих чи інших систем мозку призводить до перепрофілювання величини та вектора збудження, порушення процесів синхронізації всіх задіяних ланок.

2. Жива система функціонує як гібридна система за поєднання й одночасного існування двох систем – механічного та електронного контролю з їхнім частковим взаємним підпорядкуванням. Механічна система є довговічнішою порівняно з гібридною.

3. Тому відсутність патологічних пароксизмів, зменшення їхньої частоти та тривалості на фоні гармонійного розвитку особистості хворого та вирівнювання балансу різновекторних регуляторних систем слід розцінювати як кінцеву мету в лікуванні хворих психоневрологічного профілю. Винятком можуть слугувати парадоксальні реакції, які свідчать про розбалансування або збій у тій чи іншій системі реагування, і їх треба враховувати та передбачати на початку лікування.

Парадоксальні реакції розбалансованого організму можуть призвести до значного погіршення стану пацієнта порівняно з фоновим хворобливим станом.

На базі наукового центру "Істина" (тепер “Вікторія-Veritas”) протягом багатьох років триває комплексне дослідження пацієнтів із різноманітними судомними реакціями. У рамках мультидисциплінарного підходу обстежено 1539 пацієнтів у віці від 3 місяців до 76 років (середній вік становив 23 роки) з різноманітними захворюваннями психоневрологічного профілю (починаючи від перинатальної енцефалопатії, ВСД та закінчуючи тяжкими ураженнями ЦНС аж до апалічного синдрому). Усі пацієнти проходили комплексний клінічно-інструментальний огляд із застосуванням методів ЕЕГ, УЗД судин та органів, у тому числі УЗД судин головного мозку, ЕКГ, комп'ютерної капіляроскопії. Загалом у третини пацієнтів удалося досягти стійкої ремісії, тривалість періоду без нападів та без протисудомної терапії досягала навіть одного-трьох років. 

МОДЕЛЬ  ДОСЛІДЖЕННЯ  КРОВООБІГУ

Особливо важливі такі дослідження для серцево - судинної системи, об'єктивізувати яку дозволяють різноманітні ультразвукові пристрої, які, зокрема,  застосовують ефект Допплера для визначення швидкості та інших параметрів кровообігу. 

Ми вважаємо, що математичне моделювання процесів у судинній системі задля конструктивності повинно спиратися на певні медичні методи, які добре себе зарекомендували у медичній практиці та дають об’єктивну інформацію про стан судин та кровообігу in vivo.

Коротко   опишемо   один  з   таких   методів,   а  саме   метод ультразвукової  діагностики церебральних судин (УЗДС).  Його    основу    складають    локальні    вимірювання    лінійної швидкості  кровоплину  та знаходження  спеціальних  індексів, які    обчислюються    діагностичним    приладом.  

Алгоритм методу УЗДС такий:  дослідження проводяться на загальних сонних артеріях, внутрішніх сонних, хребцевих, очних, обох передніх, середніх та задніх мозкових артеріях, основній артерії. Венозний кровоплин досліджують по   обох   внутрішніх  яремних   венах,   хребцевому   венозному мереживу,   церебральних   синусах   -   прямому,   поперечному, сагітальному. 

 УЗДС має суттєві переваги над іншими методами діагностики завдяки неінвазивності, можливості спостереження в динаміці, можливості    спостереження із  застосуванням функціонально  -  компресійних   проб,   лікарських  засобів   та хірургічних методів лікування, а також високій інформативності та відсутності шкідливого впливу на організм хворого.

Важливою умовою адекватності діагностичної маніпуляції є кількісна та якісна інтерпретація графічного зображення швидкості потоку крові та її зміни в залежності від тонусу, еластичності судинної стінки, взаємозалежності внутрішньосудинного та внутрішньочерепного тисків, наявності звивистості та дистонії артерій  i вен та ін.

Саме на цьому етапі інтерпретації результатів досліджень судин  математичне моделювання допомагає об’єктивно оцінити отриману від діагностики інформацію.

Методика ультразвукової діагностики патології артеріального та венозного судинних русел головного мозку (патент Держпатенту України N10262А від 09.07.95 р.) розроблена Лущик У.Б., сертифікована в Україні та широко застосовується у відповідних  медичних закладах.

МАТЕМАТИЧНА МОДЕЛЬ ТИСКУ В АРТЕРІЇ НА ОСНОВІ ПРУЖНОЇ МОДЕЛІ ФРАНКА ЗА УМОВ ЗМІННОЇ ЕЛАСТИЧНОСТІ СТІНКИ

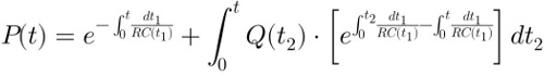
При моделюванні кровотоку в артеріальних судинах актуальною є задача зі змінною пружністю стінки, для якої конструктивною виявляється  саме модель Франка [2, 3, 4] у формі:                                                                                                

                                         𝐶(𝑡)·𝑃′(𝑡) + 𝑃(𝑡)/𝑅 = 𝑄(𝑡),   

де C(t)- ємність судини, P(t)- тиск, Q(t)- об’ємна швидкість кровотоку, R- гідравлічний опір.                             

Оскільки C(t) є змінною величиною, яка відображає еластичні властивості стінки судини, то поставлено задачу знаходження тиску P(t) при відомих Q(t) та R. 

Відомо, що у нашому випадку існує аналітичний розв’язок вигляду:




що дозволяє обчислити тиск P(t) у судині залежно від змін еластичності її стінки. Такий підхід застосовується, зокрема, для математичного моделювання гемодинаміки при пульсовому режимі кровотоку, коли потік Q(t) відомий експериментально,  наприклад, за даними УЗД- сканування, доплерографії та артеріальної смарт-тонометрії [3. 4]. 

Отриманий аналітичний розв’язок дозволяє знаходити  тиск P(t) в артерії при заданому профілі потоку Q(t) та відомій функції ємності C(t), яка описує змінну еластичність стінки судини. 

За допомогою результатів цих обчислень можна відтворити профіль тиску, враховуючи виміряні характеристики  кровотоку, зокрема лінійну і об’ємну швидкості, та експериментально визначені еластичні властивості стінки судини. Це забезпечує можливість точного моделювання стану судинної системи в умовах пульсового навантаження.

ДЕЯКІ ЯКІСНІ МОДЕЛІ РУХУ КРОВІ  ТА СУДИННОЇ СТІНКИ

Опишемо коротко механізм поширення крові по судині. Серце, скорочуючись, за невеликий проміжок часу подає порцію крові в частину   судини,   завдяки   чому   тиск   тут   зростає. Через   інерцію крові   це   викличе   не   рух   її   по   судині,  а розширення судини та вхід у неї крові.  Потім пружні сили стінок судини виштовхнуть надлишок крові в сусідню частину,  де вci  описані події повторяться.  Завдяки такому механізму по судині поширюються імпульси тиску, швидкості кровоплину та деформації судинної  стінки. Швидкість  поширення  імпульсу тиску (тобто пульсу) набагато вища, ніж середня швидкість кровоплину.

Деякі відомі механічні моделі можуть бути ефективно застосовані для дослідження кровоплину. Наприклад, розглянемо механічну модель руху садової гусені. Останню можна уявити як продовгувате деформівне тіло, що лежить на жорсткій поверхні. Спосіб переміщення садової гусені можна пояснити таким чином. На одному (наприклад, лівому) кінці тіла силою мускулатури гусениці утворюється невелика вигнута (випукла) частина ("хвиля"), яка потім також силою мускулатури переміщується до лівого (правого) кінця тіла, де, зникаючи, переміщує тіло гусені на невелику відстань.  Отже, у результаті описаного руху хвилі, тіло гусені зміщується відносно поверхні на невелику відстань dx у напрямку руху хвилі. При повторній такій хвилі тіло гусені знову переміститься у тому ж напрямі й т.д. У розглянутому випадку хвиля переносить масу. За певних умов такі хвилі можуть не переносити масу, тобто рух є, але тіло не пересувається (ніби тупцювання на одному місці). Ця модель може певною мірою пояснювати рух крові по судині, а також виникнення патологічних станів звивистості судин при врахуванні тертя крові об стінки судини. 

Модель руху дощового черв'яка. Він, як i садова гусінь, пересувається по жорсткій поверхні шляхом періодичної деформації свого тіла, однак характер деформації тіла черв'яка принципово відрізняється від деформаційних pyxiв гусені. Якщо тіло гусені деформується поперечною хвилею, то тіло черв'яка - поздовжньою. Спociб переміщення дощового черв'яка зобразимо таким чином. На одному (наприклад, правому) кінці тіла утворюється невелика розтягнута (видовжена) частина (поздовжня хвиля), яка потім зміщується до правого (лівого) кінця, де i пропадає, а початкова видовжена тонка частина тіла набуває початкової нормальної форми й є зміщеною праворуч щодо свого початкового положення. Отже, в результаті такого перебігу хвилі по тілу черв'яка, саме тіло виявляється зміщеним щодо поверхні на деяку невелику відстань dx у напрямку, протилежному до напрямку руху хвилі. Описана модель може пояснювати певною мірою патологічні процеси, пов'язані зі спазмом судин головного мозку. Зокрема, той факт, що спазм може бути динамічним, тобто поширюватися у вигляді поздовжньої хвилі деформації вдовж судин з урахуванням ангіоархітектоніки.

МОДЕЛІ ФУНКЦІОНУВАННЯ МОЗКУ

Очевидно, що ефективність реабілітації найперше залежить від стану головного мозку людини.

Сьогодні під моделлю мозку розуміють  будь-які теоретичні уявлення, які пояснюють фізіологічні та патологічні функції мозку за допомогою законів фізики і математики, а також з точки зору нейроанатомії та нейрофізіології. Основні властивості мозку визначаються топологічною структурою мережі нервових клітин (нейронів) і динамікою розповсюдження імпульсів у цій мережі.

Важливо відзначити, що ще нікому не вдалося виявити в окремих елементах або клітинах нервової мережі будь-яку специфічну психологічну функцію, таку, як пам'ять, самосвідомість або розум. Це дає підстави припускати, що такі властивості притаманні не окремим елементам, а пов'язані з організацією та функціонуванням нервової мережі в цілому. 

Якщо з цих питань думки вчених в основному збігаються, то вони істотно розбігаються в питанні про те, наскільки методи зберігання, знаходження й обробки інформації в мозку відповідають методам, які використовуються в сучасній техніці. З одного боку, є точка зору, відповідно до якої мозок працює за заздалегідь заданими алгоритмами, близьким до алгоритмів, що застосовуються в цифрових машинах (монотипні моделі), з іншого ж боку, висловлюється думка, що мозок функціонує не на основі детермінованих алгоритмів, і функції його мало схожі з відомими логічними та математичними алгоритмами в цифрових машинах, а найбільш істотними є імовірнісні методи і механізми адаптації (генотипні моделі). Поява штучного інтелекту ще більше загострює ці нагальні питання.

Описана вище модель функціонування мозку є далекою від можливості застосування її у процесах реабілітації, тому в  подальшому ми пропонуємо таку загальну алгоритмічну  модель роботи головного мозку людини та його локальні моделі. 

Будемо розглядати мозок, як головнокомандувача всього організму. Він керує роботою усіх ланок організму людини, як у нормальному фізіологічному стані, так і у патологічному стані (коли керування є неадекватним на основі порушених фізіологічних функцій). Мозок володіє  потужним механізмом зі зворотним зв’язком, який дозволяє проводити  індикацію станів органів та систем всього організму та  надсилає йому необхідну інформацію для прийняття адекватних управлінських рішень. У патологічному стані відбуваються, зокрема, порушення в процесах індикації, чи у зворотному зв’язку або у прийнятті управлінських рішень. Практично можливі різноманітні варіанти та комбінації порушень.

Головна задача реабілітації полягає саме в тому, щоб за допомогою відповідних ефективних діагностичних та лікувальних методик (алгоритмів реабілітації) мозок перевести з патологічного до нормального стану і відновити усі його фізіологічні функції.

Оскільки мозок протягом життя людини неперервно функціонує і знаходиться у розвитку, то очевидними є так звані локальні моделі його функціонування, а саме:

1. Примітивна (мінімальна мозкова функція).

2. Модель самообслуговування тіла (1-річна дитина).   

3. Модель пізнання та набуття досвіду (від 2 до 20 років).

4. Креативний мозок (20-50 років).

5. Старіючий мозок (понад 50 років).

АЛГОРИТМ СУДОМНОЇ РЕАКЦІЇ ЖИВОЇ СИСТЕМИ. МУЛЬТИДИСЦИПЛІНАРНИЙ ПІДХІД

Судомні реакції живого організму давно становлять науково-практичний інтерес для дослідників, залишаючись до кінця незбагненною реакцією живих організмів при тих чи   інших ураженнях ЦНС. Закономірно, що й результат лікування таких реакцій безпосередньо пов'язаний із розумінням патогенезу виникнення та розвитку судомного компоненту реагування. Тому відсутність судомних нападів, зменшення їхньої частоти й тривалості на тлі гармонійного розвитку особистості пацієнта слід розцінювати як кінцеву мету в лікуванні даного контингенту хворих.

Ось деякі аспекти алгоритму формування судомної реакції як логічної відповіді живого організму на неадекватний подразник.

1. Енергетичне забезпечення живої системи також підпорядковується законам збереження енергії та переходу кількості в якість. Не можна не враховувати феномену "затишшя перед бурею": як перегук із природою штормів, смерчів, перед судомним нападом у більшості хворих виникають явища локальної іритації кори мозку – різноманітні види аур, в інших хворих відбувається виражене гальмування функцій мозку – спонтанна абулія, порушення синхронізації вищих кіркових функцій, розсіяність уваги, конфліктність, нав'язливість у спілкуванні, акайрія.

2. Диспропорційний розвиток мозку дітей з мозаїчним перезбудженням одних ділянок та вираженим гальмуванням інших зумовлює фоновий гемодинамічно-енергетичний дисбаланс.

3. Демонстративно-істероїдний тип поведінки, який формується в дітей, також починається спочатку з локального перезбудження – реакції гучного плачу без сліз із поступовим розширенням артистичного ефекту в руховій сфері, зокрема синхронні часті посмикування кінцівок аж до знепритомнення. Фактично це зафіксована судомна реакція реагування на негатив із неможливістю або небажанням продуктивного мовного контакту для досягнення згоди.

4. Пам'ять мозку – в пацієнтів, які в анамнезі мали судомні напади, ці напади можуть поновитися за наявності несподіваних несприятливих факторів для мозку – стресових ситуацій, порушення нічного сну тощо.

5. Ефект оголених дротів – із замиканням, різновекторним перемиканням та розсіюванням-збудженням (електричного імпульсу) по нервовому волокну на тлі набряку мозкової тканини.

6. Рухове неконтрольоване збудження у вигляді парціальних чи генералізованих судом – фактично основний синдром, який візуально найбільше лякає під час судомного нападу.

7. Горизонтальне положення тіла пацієнта під час судомного нападу гемодинамічно обґрунтоване потребою вирівнювання тисків та гемодинамічно-водного балансу в усьому організмі. 

8. Концентрація протисудомних лікарських середників у ліктьовій вені може значно відрізнятися від концентрації цих препаратів у ділянках мозку, особливо за наявності феномену артеріовенозного шунтування в кавернозний або в інші синуси мозку. 

9. Стресові реакції, які зафіксовано в мозку і не нейтралізовано під час психотерапевтичних сеансів, можуть виступати тригером страшних сновидінь із виходом у нічний судомний напад.

10. Сьогодні доконечне потрібна комплексна об'єктивізація стану всіх систем мозку (саме мозку!) під контролем сучасної діагностичної апаратури для адекватної та правильної тактики ведення хворого із судомними реакціями, бажано від фази дебюту захворювання.

Таким чином, “відключення” свідомості хворого та судомні реакції організму слід розглядати як патологічно-саногенні, тобто спроби організму самостійно вийти з нестандартної ситуації або хоча б повідомити про негаразди в живому організмі. Гібридна жива система в своєму функціонуванні передбачає аварійний перехід на систему жорсткого захисного перезапуску організму без втручання безпосередньо самого пацієнта. Однак це не означає, що вона самостійно зможе подолати всі наявні поломки в організмі. "Не зашкодь мозку та допоможи йому контролювати ситуацію" – можливо, саме такий підхід повинен лягти в основу сьогоднішніх тенденцій у лікуванні пацієнтів із судомними нападами, на відміну від однозначного блокування візуальних судомних реакцій високими дозами протисудомних засобів. У нашій клінічній практиці вищезазначений підхід дав вагомі позитивні результати.

“Ця робота була підтримана грантом від Фонду Саймонса (SFI-PD-Ukraine-00014586, NVV, NViVi.)”.

Список літератури

1. Алексеєва Т.С., Браніцька Н.С., Лущик У.Б., Новицький В.В., Францевич К.А. Деякі сучасні математичні моделі гемодинаміки: Питання математики та її застосувань // Праці Інституту математики НАН України. Київ, 2002. с. 18-24. 

2. Westerhof N., Stergiopulos N., Noble M. Snapshots of Hemodynamics. An Aid for Clinical Research and Graduate Education. 3rd ed. — Springer International Publishing AG, part of Springer Nature 2019. p.314. DOI: https://doi.org/10.1007/978-3-319-91932-4

3. Stergiopulos N., Westerhof B.E., Westerhof N. Total arterial inertance as the fourth element of the Windkessel model. American Journal of Physiology - Heart and Circulatory Physiology, 1999, 276(1): р81–88.

4. Новицький Ві.Ві. Аналітична модель тиску в судині на основі пружної моделі Франка за умов змінної еластичності стінки. VIII міжнародна наукова конференція «Сучасні проблеми механіки», 2025.



Creative Commons Attribution Ця робота ліцензується відповідно до Creative Commons Attribution 4.0 International License

допомогаЗнайшли помилку? Виділіть помилковий текст мишкою і натисніть Ctrl + Enter


 Інші наукові праці даної секції
ГОМЕОКІНЕТИЧНА КЛАСИФІКАЦІЯ АСТМАТИЧНОГО СИНДРОМУ ТА ДИХАЛЬНА ГІМНАСТИКА
30.08.2025 11:05
ГОМЕОКІНЕТИЧНА КЛАСИФІКАЦІЯ МЕНОПАУЗАЛЬНОГО СИНДРОМУ ТА СЕКСУАЛЬНІ РОЗЛАДИ
30.08.2025 10:51
КОНВЕРСІЯ ТУРНІКЕТУ В УКРАЇНІ
28.08.2025 11:35
БЛОКАТОРИ НАТРІЄВИХ КАНАЛІВ NAV1.8 ЯК ПОТЕНЦІЙНО НОВИЙ ШЛЯХ АНАЛГЕЗІЇ
24.09.2025 13:03
MATHEMATICAL MODELS OF HEMODYNAMICS
24.09.2025 12:26
MICROVASCULAR VASCULITIS: FROM LIVE VISUAL VERIFICATION OF CHANGES IN MICROANGIOARCHITECTONICS AND BLOOD FLOW TO HEMODYNAMICALLY BASED PATHWAYS OF ANGIOCORRECTION
24.09.2025 12:03
CURRENT CHALLENGES OF 21ST CENTURY CIVILIZATION AND THE CULT OF HEALTH: VALEOLOGY AND HEALTH-SAFE TECHNOLOGIES IN REHABILITATION AND SPORTS
24.09.2025 11:45
СУЧАСНІ ВИКЛИКИ ЦИВІЛІЗАЦІЇ ХХІ СТОЛІТТЯ ТА КУЛЬТ ЗДОРОВ’Я: ВАЛЕОЛОГІЯ ТА ЗДОРОВЯЗБЕРЕЖУЮЧІ ТЕХНОЛОГІЇ В РЕАБІЛІТАЦІЇ ТА СПОРТІ
23.09.2025 22:18
ВАСКУЛІТИ МІКРОСУДИННОГО РУСЛА: ВІД ВІЗУАЛЬНОЇ ВЕРИФІКАЦІЇ НАЖИВО ЗМІН МІКРОАНГІОАРХІТЕКТОНІКИ ТА КРОВОПЛИНУ ДО ГЕМОДИНАМІЧНО ОБГРУНТОВАНИХ ШЛЯХІВ АНГІОКОРЕКЦІЇ
23.09.2025 22:06
ОСОБЛИВОСТІ ВПЛИВУ ЦИРКАДНИХ РИТМІВ НА РОБОТУ СЕРЦЕВО-СУДИННОЇ СИСТЕМИ
23.09.2025 06:45




© 2010-2026 Всі права застережені При використанні матеріалів сайту посилання на www.economy-confer.com.ua обов’язкове!
Час: 0.200 сек. / Mysql: 2067 (0.158 сек.)